为了提高我部学生汉字书写水平,检验书法学习效果,以比赛促进步,传承文化经典,娄底职院中职部于5月30日在三教学楼506举行了硬笔书法比赛活动。
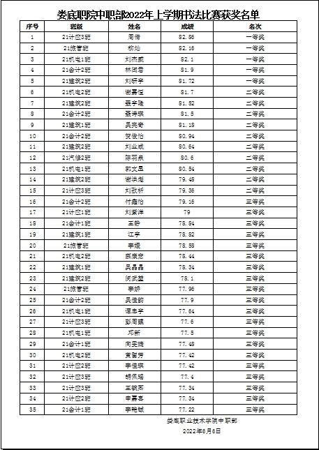
此次书法比赛选手来自于中职部21级12个班级,每班5名参赛选手同台竞技,60名选手都是经过赛前精心选拔,以饱满的精神状态投入比赛。比赛中,同学们认真仔细,不急不燥,用心书写着每一笔笔画、每一个汉字,尽其所能地展示自身的书法才能 ,以实际行动诠释着中国传统文化的真和美,力求赛出风格,赛出水平。赛后评委老师从字形、笔锋、版面设计等几个方面进行了细致评选,评出一,二,三等奖若干名。






此次比赛活动,既丰富了学生的校园文化生活,培养了学生的书法兴趣,增强了学生们对祖国语言文字的热爱,促进了学生的学习积极性,也有利于营造“书香校园”氛围,建设特色学校,促进中华传统文化在中职部校区的传播和发展。(图文/刘芷筠)
